面试题36
输入一棵二叉搜索树,将该二叉搜索树转换成一个排序的循环双向链表。要求不能创建任何新的节点,只能调整树中节点指针的指向。
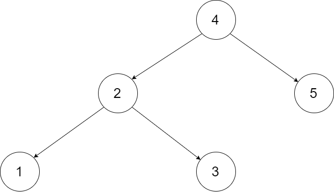
为了让您更好地理解问题,以下面的二叉搜索树为例:

我们希望将这个二叉搜索树转化为双向循环链表。链表中的每个节点都有一个前驱和后继指针。对于双向循环链表,第一个节点的前驱是最后一个节点,最后一个节点的后继是第一个节点。
下图展示了上面的二叉搜索树转化成的链表。“head” 表示指向链表中有最小元素的节点。

特别地,我们希望可以就地完成转换操作。当转化完成以后,树中节点的左指针需要指向前驱,树中节点的右指针需要指向后继。还需要返回链表中的第一个节点的指针。
注意:此题对比原题有改动。
The sequence of the doubly-linked list can be fethced by inorder traversal.
See problem 426 for more solutions.
inorder traversal with recursion
/*
// Definition for a Node.
class Node {
public:
int val;
Node* left;
Node* right;
Node() {}
Node(int _val) {
val = _val;
left = NULL;
right = NULL;
}
Node(int _val, Node* _left, Node* _right) {
val = _val;
left = _left;
right = _right;
}
};
*/
class Solution {
public:
Node * prev = nullptr, * head = nullptr;
void inorder(Node * root) {
if (!root) return;
inorder(root->left);
if (!prev)
head = root;
else {
prev->right = root;
root->left = prev;
}
prev = root;
inorder(root->right);
}
Node* treeToDoublyList(Node* root) {
if (!root) return nullptr;
inorder(root);
prev->right = head;
head->left = prev;
return head;
}
};
morris inorder traversal
class Solution {
public:
Node* treeToDoublyList(Node* root) {
if (!root) return nullptr;
Node * head = root, * prev = nullptr, * rdeep;
while (root) {
if (root->left) {
rdeep = root->left;
while (rdeep->right && rdeep->right != root)
rdeep = rdeep->right;
if (rdeep->right != root) {
rdeep->right = root;
root = root->left;
continue;
}
}
root->left = prev;
if (prev)
prev->right = root;
prev = root;
root = root->right;
}
while (head->left) {
head = head->left;
}
head->left = prev;
prev->right = head;
return head;
}
};
Last updated
Was this helpful?